COMMENTARY:

In January 2005, when a GA citizen asked for the 2004 Georgia Election data which can only be fully audited by getting full access to the Diebold source data files, their response was:

View full details here:

 

“Second, the CDROM mentioned in the request should not be copied or provided for disclosure because it has elements of computer programs and software as described by OCGA 50-18-72(f) and it may contain information the disclosure of which would compromise security against sabotage or criminal or terrorist acts and the nondisclosure of which is necessary for the protection of life, safety or public property… OCGA 50-18-72(a)(15)(A))”

 

A case was brought by a failed candidate for mayor in Shelby County and successfully won demanding Diebold release the CD.  In addition, the ACLU, Georgia First Amendment foundation and many other lawyers confirm, they cannot deny citizens access to the fundamental data that comprised an election or deny fundamental sunshine laws in Georgia.

 

 

 

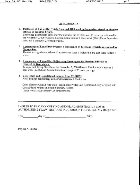
Letter received from Georgia County Elections Officials

All Letters claim citizens cannot receive CD as this could allow

TERRORISTS acts.  This CD Contains vital BALLOT Information, and

Represents the only ‘source file’ showing Georgia election data.

 

 

*** THE Georgia Secretary of State, Cathy Cox Office

LETTER FAXED TO COUNTY OFFICIALS

AS RESULT OF MY OPEN RECORDS REQUEST ****